База экспериментальных данных
2025
База данных с экспериментальными критическими условиями и характеристиками процессов нагрева, распыления, вторичного дробления очищаемой воды с содержанием твердых растворимых примесей
- Определение скоростей прогрева и испарения капель водных растворов при варьировании температуры газового потока
- Определение cкорости прогрева и испарения капель водных растворов NaCl при варьировании начальных размеров капель
- Определение cкорости прогрева и испарения капель водных растворов при варьировании концентрации примеси
- Определение cкорости прогрева и испарения капель водных растворов в пламенной зоне при варьировании концентрации примеси


База данных с теоретическими характеристиками процессов нагрева, распыления, вторичного дробления очищаемой воды с содержанием твердых растворимых примесей
- Свойства и характеристики исследуемых примесей
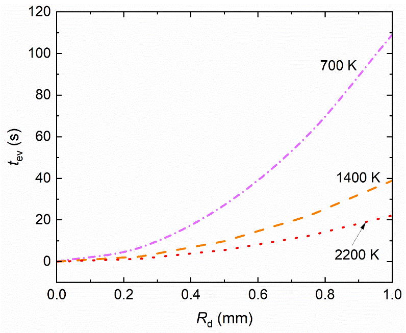
- Результаты моделирования процессов прогрева и испарения капель с твердыми растворимыми примесями
База данных с размерными и безразмерными функциональными зависимостями выходных параметров от входных, позволяющая прогнозировать эффективные условия интенсивной термической очистки воды от твердых растворимых примесей
- Распределение количества неоднородных капель водного раствора с твердой растворимой примесью в качестве хлорида натрия от их радиуса
- Результаты моделирования процесса тепломассопереноса капель раствора аэрозольного потока с твердой растворимой примесью в качестве хлорида натрия при различных варьируемых параметрах


База экспериментальных данных об эффективности газокапельной закрученной завесы в цилиндрическом канале
- Областью исследования является цилиндрический канал диаметром 100мм и длиной 1200мм. На входе рабочего участка располагается кольцевое сопло высотой 5 мм. Воздушная завеса закручивается перед выходом в канал с помощью спиральных ребер, имеющих углы с аксиальным направлением 0°; 45°; 75°. Жидкость подмешивается на выходе сопла через специальные канавки вглубь стенки.
- В опытах основной поток может нагреваться до ~150℃, достигается скороить течения ~15-20м/с. Важным параметрам для охлаждения поверхности является его значения m, которое в экспериментах было 0,25; 0,5; 1 и 2. Областью исследования была добавка жидкости в закрученную пристенную завесу. Концентрация могла варьироватся от 1 до 10% по весу от расхода пристенной струи. Измерялся расход от 0,2 дo 22 м/c.
2024
База данных со свойствами и характеристиками физико-химических процессов при термической очистке воды от твердых нерастворимых примесей
- Определение скоростей перемещения частиц в водной суспензии
- Определение скоростей прогрева и испарения капель водной суспензии с твердыми нерастворимыми примесями


Математическое моделирование процессов прогрева, испарения и распыления очищаемой воды с содержанием твердых нерастворимых примесей
- Свойства и характеристики исследуемых примесей
- Результаты моделирования процессов прогрева и испарения капель с твердыми нерастворимыми примесями
Математическая обработка и обобщение результатов экспериментов и моделирования процессов гидрогазодинамики и тепломассопереноса для спрея очищаемой воды с твердыми нерастворимыми примесями
- Свойства и характеристики исследуемых примесей
- Результаты моделирования процесса испарения потока жидкостного спрея

