Управление структурой течения и теплопереносом в пузырьковом турбулентном потоке за внезапным расширением трубы

 

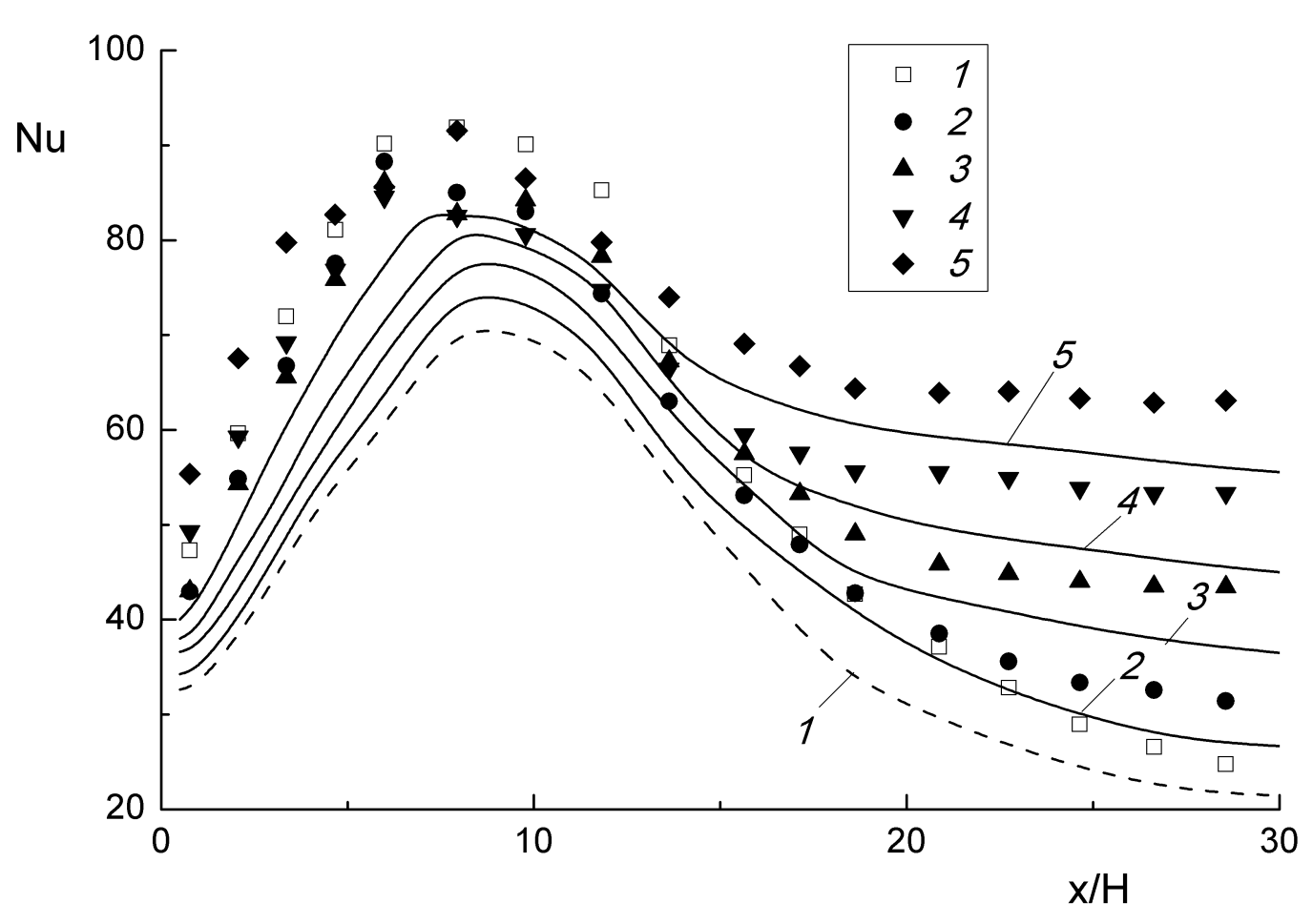
Изменение числа Нуссельта в пузырьковом потоке за внезапным расширением трубы при ReH = 1.02×104: точки и линии – измерения и расчет авторов, соответственно; d = 1.7 – 2 мм, 2R1 = 15 мм, H = 13.5 мм, 2R2 = 42 мм, ER = (R2/R1)2 = 7.84, qW = const = 8.95 кВт/м2, T1 = Tb1 = 298 K; 1 – однофазный поток (β = 0), 2 – β = 1.2%, 3 – 3.6%, 4 – 7%, 5 – 10.1%.

Пузырьковые потоки широко распространены в химической технологии, в энергетике и в других областях практических приложениях. Представлены результаты численного моделирования теплообмена пузырькового восходящего течения за внезапным расширением трубы и проведено сопоставление с данными измерений теплообмена. Показано, что добавление воздушных пузырьков вызывает значительное возрастание интенсивности теплообмена (до 3-х раз), причем эти эффекты возрастают с ростом концентрации пузырьков. Основное увеличение теплообмена для крупных пузырьков  диаметром 1.7 – 2 мм зафиксировано в области релаксации течения за точкой присоединения потока. При увеличении числа Рейнольдса наблюдается значительное снижение интенсификации теплообмена в области релаксации течения.

ИТ СО РАН, д. т. н., проф., Терехов В.И., д. ф.-м. н., проф. РАН, в. н. с. Пахомов М.А., тел.: (383)330-67-36.