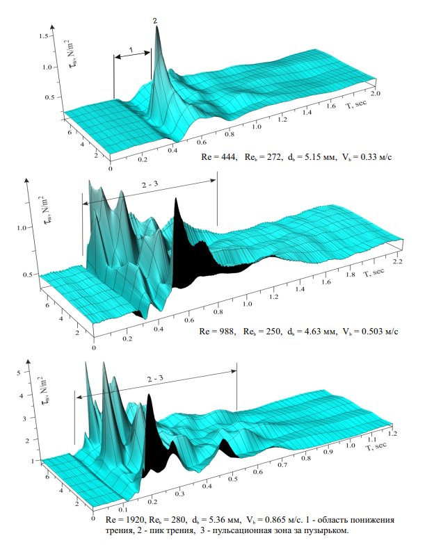
Взаимодействие собственной турбулентности жидкости с наведенной дисперсной фазой (пузырьками) псевдотурбулентности является одним из ключевых моментов моделирования многофазных течений. Одной из первых и широко распространенных на настоящее время является гипотеза (Sato Y. Et al., 1975) об аддитивности этих двух турбулентных вкладов при формировании общей турбулентности двухфазного газожидкостного пузырькового течения.

Выполненные в работе эксперименты показывают, что в течении жидкости с повышенной вязкостью, где числа Рейнольдса по пузырьку ниже 100, гипотеза Sato не корректна и аддитивность не соблюдается. Результат значим для теоретических расчетов многофазных течений.
Руководитель работы – к. ф.-м. н. Тимкин Л.С., тел. +7 (383) 330-67-07.