2026

Фильтры:
Тема новости
Период публикации
9 апреля 2026
МАОУ «Гимназия № 3 в Академгородке» и Институт теплофизики им. С.С.Кутателадзе СО РАН подписали Договор о сотрудничестве на 5 лет.
8 апреля 2026
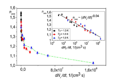
Данное исследование выполнено в рамках государственного контракта с ИТ СО РАН (№ 126021217059-6).
7 апреля 2026
26 марта в Институте теплофизики им. С.С. Кутателадзе СО РАН прошла экскурсия для студентов 1 и 2-го курсов Физического факультета НГУ, организованная Советом молодых ученых Института и Кафедрой физики неравновесных процессов Новосибирского государственного университета.
6 апреля 2026
Семинар пройдет 7 апреля в конференц-зале Института. Начало в 11:00 часов.
6 апреля 2026
Лекция для школьников «Наноулегордный след в современном мире» Дмитрия Владимировича Смовжа.
3 апреля 2026
Поздравляем Дмитрия Марковича Марковича, Александра Николаевича Павленко и Максима Александровича Пахомова с победой в конкурсах!